一、2022奔驰cls550落地价2022出厂的奔驰cls550落地价在65万元人民币左右,随着我国经济发展,有钱的人越来越多了,所以,这款车在中国的销售情况不错。二、奔驰cls63 2023款落地价1、落地价为人民币57.68万元。2、奔
宋智雅是女团成员吗 宋智雅恋爱综艺
一、宋智雅是女团成员吗1、宋智雅不是女团成员2、宋智雅毕业于韩国名校汉阳大学,是一个妥妥的学霸。因为撞脸韩国当下的人气女团张员瑛,引起国内外网友关注,是现今韩国最红的网红之一。3、刚开微博账号几个月,就突破100万粉丝,全网粉丝超过500万
一、宋智雅是女团成员吗
1、宋智雅不是女团成员
2、宋智雅毕业于韩国名校汉阳大学,是一个妥妥的学霸。因为撞脸韩国当下的人气女团张员瑛,引起国内外网友关注,是现今韩国最红的网红之一。
3、刚开微博账号几个月,就突破100万粉丝,全网粉丝超过500万,宋智雅在中国是真的火了!她和张员瑛还曾经合体,立刻引发了许多讨论,宋智雅的妆容较重,早起加上25岁的年龄,五官也明显更加立体走性感路线,整体气质成熟许多。而旁边的16岁的张员瑛,却有和年龄相仿的清纯气息,妆容也是比较清淡,能明显看出两人的差异。
二、宋智雅参加的恋爱综艺叫什么
1、《单身即地狱》
2、《单身即地狱》由Jae Won Kim、Kim Na-Hyun,李多熙、曹圭贤等主持的韩国真人秀节目。该节目于2021年12月18日播出。

相关文章
- 详细阅读
-
85式杨式太极拳终点能回到起点吗 杨氏85式太极拳教程详细阅读
一、85式杨式太极拳终点能回到起点吗85式杨氏太极拳终点能回到起点!中国传统武术套路基本上都有一个特点,:就是行拳过程中,起式在什么地方收势也一定要回到什么地方。85式太极拳也不例外,真正的演练高手,再练太极拳时总是把距离,方向,角度,拿捏
-
华为商标所有人是谁 华为申请姚安娜商标详细阅读
一、华为商标所有人是谁1月25日,华为技术有限公司申请注册“姚思为”、“姚安娜”、“YAO AIWEI”、“YAO ANNA”等商标,其中国际分类包含食品、珠宝钟表、通讯服务、餐饮住宿、健身器材、家具、医疗器械等,目前商标状态为注册申请中二
-
马自达是那个国家的汽车品牌 马自达是哪个国家的详细阅读
一、马自达是那个国家的汽车品牌马自达汽车是日本汽车品牌,主要出口到亚洲、欧洲、美洲等地。马自达汽车的历史可以追溯到1920年,创始人是松田,1931年,马自达以生产三轮重汽车身为起点进入汽车行业,1940年逐步生产汽车。二、马自达是哪国的车
-
三星洗衣机排水阀拆解步骤 三星洗衣机维修详细阅读
一、三星洗衣机排水阀拆解步骤1、很抱歉,我不知道三星洗衣机排水阀拆解步骤。不过我可以为你介绍三星洗衣机排水系统的拆解步骤。2、关闭洗衣机的电源,拔掉电源插头,确保安全。3、将洗衣机移动到通风良好的地方,以便进行操作。4、准备好所需的工具,包
-
八喜壁挂炉水压过低怎么补水 长沙八喜壁挂炉维修详细阅读
一、八喜壁挂炉水压过低怎么补水1、如果八喜壁挂炉的水压过低,需要进行补水。具体操作步骤如下:2、打开八喜壁挂炉下方的水阀,将软化水加入到八喜壁挂炉中。3、打开循环水泵上的自动排气阀及采暖系统末端设备上的排气阀,将空气排出。4、观察操作面板上
-
网上购买火车票如何取票 网上买票怎么取票详细阅读
一、网上购买火车票如何取票1、网上购买火车票现可以直接刷身份证进站,不需要取票2、现在基本都是电子票,你身份证没有的话就要去售票窗口取火车票,取票需要向窗口售票姐姐证明你就是这个人。那就简单了,你需要去办理一个证明,证明你是这个人就可以了。
-
钕铁硼永磁材料,用途 钕铁硼材料详细阅读
一、钕铁硼永磁材料,用途高性能钕铁硼永磁材料主要应用于新能源和节能环保领域(风力发电、新能源汽车及汽车零部件、节能变频空调、节能电梯、机器人及智能制造等)以及传统的消费电子领域。我国新能源和节能环保领域已经成为高性能钕铁硼永磁材料的主流应用
-
小汽车改装大包围违法吗 汽车改装大包围详细阅读
一、小汽车改装大包围违法吗1、如果事先未经过交通管理部门的批准,改装大包围的车是违法的、无法正常通过年检的。根据现行的《机动车登记规定》相关条款,改变已领牌照机动车的车身颜色、车型、性能、用途和结构,更换车架、车身或发动机,车主都必须向车管
-
世界上哪个国家的人长得最漂亮 世界上最好看的人详细阅读
一、世界上哪个国家的人长得最漂亮1、最漂亮吗? 2、我个人认为,女人,是波兰女人是漂亮。是蓝色眼睛,金黄头发的波兰女人最漂亮。法国女人稍微差一点,就一点,一点点。扩大一点说,是斯拉夫女人最漂亮。3、那么男人呢?都不漂亮。这就是说,漂亮这个词
-
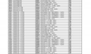
太原各校高中录取分数线如何划定 太原市中考分数线详细阅读
一、太原各校高中录取分数线如何划定1、太原市各校高中录取分数线是根据所有孩子题型的难度考试的分数,每个学生报考学校的志愿来定分数线,每个学校的招生人数来划定。2、三大校的分数每年最高,因为中考是估分报志愿 ,有些学校报的人数多,学校招生计划
